极速快3

您好!欢迎光临极速快3品牌官网!

深圳市极速快3有限公司

ShenZhen XuanXinWei Technoligy Co.,Ltd
二极管、三极管、MOS管、桥堆

全国服务热线:18923864027

  • 热门关键词:
  • 桥堆
  • 场效应管
  • 三极管
  • 二极管
  • 集成电路相对于分立元件电路的优势是什么
    • 发布时间:2025-01-07 19:24:50
    • 来源:
    • 阅读次数:
    集成电路相对于分立元件电路的优势是什么
    有些应用程序需要宽范围的输出调节功能,并且需要输出的电流低于20mA。对于需要宽范围输出调节电压和低电流输出的应用电路,采用分立组件构成的线性稳压器是非常低成本高效益的解决方案(图1)。对于需要精确输出调节电压和高电流的需求,我们可以选择高性能的芯片-低压差线性稳压器(LDO)。
    集成电路 分立元件电路
    图1所示的电路涉及两个设计方面的挑战。第一个挑战是调节到需求的稳定输出电压,第二个挑战是在电路短路的情况下要保持电路的安全稳定性。下面将会介绍如何使用分立器件来设计稳定的线性稳压器。
    下面是对于此电路的需求:输入电压范围:8.4V至12.6V。输出电压范围:1.71V至3.7V。最大负载电流:最大输出电流为Io_max = 20mA。
    三极管Q1的选择:
    NPN三极管Q1是这个电路最重要的组件。我们首先要选择这种器件。该三级管必须符合下列要求:集电极c至发射极e和基极b至发射极e的击穿电压必须超过最高输入电压Vin_max。集电极最大允许电流必须超过最大负载电流Io_max。
    下面是我们选到的的NPN晶体管的关键特性。当IC = 50mA时:直流(DC)电流增益hFE = 60;集电极c-发射极e最高饱和电压VCEsat = 300mV;基极b-发射极e最高饱和电压VBEsat = 950mV。
    齐纳二极管Dz的选择
    输出电压等于反向齐纳电压VZ减去该晶体管基极至发射极电压VBE。因此,最低反向齐纳电压应符合下述要求(方程式1):
    集成电路 分立元件电路
    基极上拉电阻器RB
    电阻RB它是为齐纳二极管Dz和三极管Q1的基极提供电流。在正常运行时,它应提供足够的电流。齐纳二极管Dz的反向电流IZ要大于1mA,方程式2大致可以估算出运行所需的最大基极电流:
    集成电路 分立元件电路
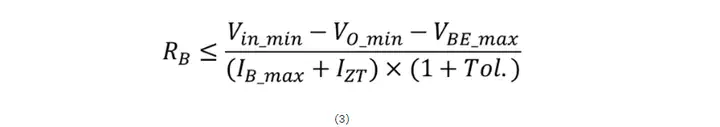
    这里是增益Hfe_min = 60。所以,IB_max ≈ 0.333mA。
    方程式3大概可以计算出RB的值。
    集成电路 分立元件电路
    因此,RB应该小于4.26kΩ。我们使用了4.22kΩ标准值的电阻。
    〈烜芯微/XXW〉专业制造二极管,三极管,MOS管,桥堆等,20年,工厂直销省20%,上万家电路电器生产企业选用,专业的工程师帮您稳定好每一批产品,如果您有遇到什么需要帮助解决的,可以直接联系下方的联系号码或加QQ/微信,由我们的销售经理给您精准的报价以及产品介绍
     
    联系号码:18923864027(同微信)
     
    QQ:709211280

    相关阅读
    79991cm德彩网 美彩国际7709 佰富彩采购大厅-欢迎您 名贯彩票-大发精准计划 88爱彩 - 欢迎您 美彩国际 - 欢迎您 德彩网 - 欢迎您 79991cm德彩网