霍尔传感器是全球排名第三的传感器产品,在日常生活中,每天在与其打交道;例如,在电脑键盘上,实现光标移动的滚动键就是由霍尔传感器组成的;或者,在汽车变速箱、电动门窗等需要电机的部件中也有霍尔传感器应用。由于霍尔传感器是根据霍尔效应制成的,那么下面先从霍尔效应介绍:
1.霍尔效应

图1 霍尔效应
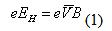
霍尔效应从本质上讲是运动的带电粒子在磁场中受洛仑兹力作用引起的偏转。当带电粒子(电子或空穴)被约束在固体材料中,这种偏转就导致在垂直电流和磁场的方向上产生正负电荷的聚积,从而形成附国的横向电场。对于图1所示的半导体试样,若在X方向通以电流IS,在Z方向加磁场B,则在Y方向即试样A,A′电极两侧就开始聚积异号电荷而产生相应的附加电场。电场的指向取决定于试样的电类型。显然,该电场是阻止载流子继续向侧面偏移,当载流子所受的横向电场力eEH与洛仑兹力1相等时,样品两侧电荷的积累就达到平衡,故有

其中EH为霍尔电场,V是载流子在电流方向上的平均漂移速度。设试样的宽为b,厚度为d,载流子浓度为n,则:

由(1)、(2)两式可得:

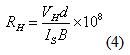
即霍尔电压VH(A、A′电极之间的电压)与ISB乘积正比与试样厚度d成反比。比例系数2称为霍尔系数,它是反映材料霍尔效应强弱的重要参数,只要测出 VH(伏)以及知道IS以及知道IS(安)、B(高斯)和d(厘 米)可按下式计算RH(厘米3/库仑)。

2.霍尔原理
由霍尔效应的原理知,霍尔电势的大小取决于: UH=Rh×IC×B/d
Rh为霍尔常数,它与半导体材质有关;IC为霍尔元件的偏置电流;B为磁场强度;d为半导体材料的厚度。
对于一个给定的霍尔器件,当偏置电流Ic固定时,Vh将完全取决于被测的磁场强度B。一个霍尔元件一般有四个引出端子,其中两根是霍尔元件的偏置电流IC的输入端,另两根是霍尔电压的输出端。如果两输出端构成外回路,就会产生霍尔电流。一般地说,偏置电流的设定通常由外部的基准电压源给出;若精度要求高,则基准电压源均用恒流源取代。为了达到高的灵敏度,有的霍尔元件的传感面上装有高导磁系数的坡莫合金;这类传感器的霍尔电势较大,但在0.05T左右出现饱和,仅适用在低量限、小量程下使用。
在半导体薄片两端通以控制电流I,并在薄片的垂直方向施加磁感应强度为B的匀强磁场,则在垂直于电流和磁场的方向上,将产生电势差为UH的霍尔电压。
3.工作原理
磁场中有一个霍尔半导体片,恒定电流I从A到B通过该片。在洛仑兹力的作用下,I的电子流在通过霍尔半导体时向一侧偏移,使该片在CD方向上产生电位差,这就是所谓的霍尔电压。
霍尔电压随磁场强度的变化而变化,磁场越强,电压越高,磁场越弱,电压越低。霍尔电压值很小,通常只有几个毫伏,但经集成电路中的放大器放大,就能使该电压放大到足以输出较强的信号。若使霍尔集成电路起传感作用,需要用机械的方法来改变磁场强度。用一个转动的叶轮作为控制磁通量的开关,当叶轮叶片处于磁铁和霍尔集成电路之间的气隙中时,磁场偏离集成片,霍尔电压消失。这样,霍尔集成电路的输出电压的变化,就能表示出叶轮驱动轴的某一位置,利用这一工作原理,可将霍尔集成电路片用作用点火正时传感器。霍尔效应传感器属于被动型传感器,它要有外加电源才能工作,这一特点使它能检测转速低的运转情况。

霍尔传感器
以上就是霍尔传感器的工作原理介绍了。目前霍尔传感器被广泛应用到工业、汽车业、电脑、手机以及新兴消费电子领域。与此同时,其的相关技术仍在不断完善中,可编程霍尔传感器、智能化霍尔传感器以及微型霍尔传感器将有更好的市场前景。
电话:18923864027(同微信)
QQ:709211280
〈烜芯微/XXW〉专业制造二极管,三极管,MOS管,桥堆等,20年,工厂直销省20%,上万家电路电器生产企业选用,专业的工程师帮您稳定好每一批产品,如果您有遇到什么需要帮助解决的,可以直接联系下方的联系号码或加QQ/微信,由我们的销售经理给您精准的报价以及产品介绍

